Kategorielle Grundbegriffe 1: Kategorien, Funktoren, natürliche
Transformationen
Der Begriff einer Kategorie
Wenn man von einer "Kategorie" spricht, so meint man eine Klasse
mathematischer Objekte (die gleichartige Struktur haben) und die
strukturerhaltenden Abbildungen zwischen diesen Objekten, siehe die Beispiele
weiter unten.
Eine Kategorie C ist durch folgende Daten gegeben:
- Eine Klasse O(C), man nennt die Elemente in O(C) die Objekte
der Kategorie.
(Statt von einer "Klasse" von Objekten zu reden, würde man
wohl lieber sagen, dass eine "Menge" von Objekten gegeben ist, aber man muss
wegen möglicher mengentheoretischer Schwierigkeiten auf ein anderes Wort als "Menge"
zugreifen, also eben auf das Wort "Klasse").
- Zu jedem Paar X,Y von Objekten eine Menge Mor(X,Y), man nennt die Elemente
in Mor(X,Y) die Morphismen von X nach Y und man notiert so ein Element
f in Mor(X,Y) auch in der Form f: X → Y. Statt Mor(X,Y) schreibt man auch
MorC(X,Y) oder auch C(X,Y).
(DieNotation f: X → Y soll daran erinnern,
dass in den meisten Fällen die Objekte
Mengen mit einer Zustatzstruktur sind, und dass die Morphismen mengentheoretische
Abbildungen sind, die die Zusatzstruktur respektieren; im allgemeinen bedeutet
diese Notation f: X → Y aber nur, dass f zur Menge Mor(X,Y) gehört, und nicht
etwa, dass "Elementen" von X "Elemente" von Y zugeordnet werden - im Rahmen der
Kategorientheorie haben Objekte keine Elemente!)
- Eine Verknüpfung Mor(X,Y) × Mor(Y,Z) → Mor(X,Z); das Bild des
Paares (f,g) mit f: X →Y und g: Y →Z unter dieser Verknüpfung wird
meist einfach als gf (oder g o f) notiert.
Man nennt diese Verknüpfung die Komposition von Morphismen.
Dabei müssen folgende Axiome erfüllt sein:
- (Assoziativität) Sind Morphismen f: X → Y, g: Y → Z, h: Z → A
gegeben, so gilt (hg)f = h(gf).
- (Identitäten) Zu jedem Objekt X gibt es einen Morphismus 1X
in Mor(X,X)
mit f1X = f und 1Xg für und alle Morphismen f: X → Y und
g: W → X.
Beispiele von Kategorien
Wir notieren jeweils die Objekte und die Morphismen, eigentlich müssten wir
auch die Komposition der Morphismen notieren, aber in allen Fällen handelt es sich
einfach um die Hintereinanderschaltung der Abbildungen, oder aber (im Fall der
Homotopiekategorie der topologischen Räume) um eine durch die Hintereinanderschaltung
von Abbildungen induzierte Operation. - Wir könnten natürlich auch darauf
verzichten, die Objekte zu notieren, da der Name einer Kategorie üblicherweise
einfach auf die Objekte verweist! Einigen der Kategorien wird hier ein Name gegeben
(wie Gr für "Gruppen", Top für "topologische Räume), damit später
damit gearbeitet werden kann).
- Die Kategorie Men der Mengen
| OBJEKTE: | Mengen
|
| MORPHISMEN: | Abbildungen
|
- Die Kategorie Gr der Gruppen
| OBJEKTE: | Gruppen
|
| MORPHISMEN: | Gruppen-Homorphismen
|
- Die Kategorie Ab der abelschen Gruppen
| OBJEKTE: | Abelsche Gruppen
|
| MORPHISMEN: | Gruppen-Homorphismen
|
- Die Kategorie der Vektorräume (über einem festen
Körper k)
| OBJEKTE: | k-Vektorräume
|
| MORPHISMEN: | k-lineare Abbildungen
|
- Die Kategorie der Ringe
| OBJEKTE: | Ringe
|
| MORPHISMEN: | Ring-Homorphismen
|
- Die Kategorie Top der topologischen Räume
| OBJEKTE: | topologische Räume
|
| MORPHISMEN: | stetige Abbildungen
|
- Die Kategorie Top* der punktierten topologischen Räume
| OBJEKTE: | punktierte topologische Räume
|
| MORPHISMEN: | stetige Abbildungen, die Basispunkt auf
Basispunkt abbilden
|
- Die Kategorie der metrischen Räume
| OBJEKTE: | metrische Räume
|
| MORPHISMEN: | stetige Abbildungen
|
- Die Homotopie-Kategorie der topologischen Räume
| OBJEKTE: | topologische Räume
|
| MORPHISMEN: | Homotopieklassen stetiger Abbildungen
|
| Im Gegensatz zu allen vorrangegangenen
Beispielen sind hier die Morphismen keine Abbildungen, sondern
Äquivalenzklassen von Abbildungen!
|
Ist C eine Kategorie, so zeigt man leicht, dass die im zweiten Axiom
geforderten Elemente 1X jeweils eindeutig bestimmt sind
(so wie man
bei Gruppen zeigt, dass es nur ein Einselement gibt).
Sind Morphismen f: X → Y und g: Y → X mit gf = 1X und
fg = 1Y gegeben, so nennt man f,g (zueinander inverse) Isomorphismen
und man sagt dann, dass die Objekte X, Y isomorph sind.
Es sollte klar sein, was man unter einer Unterkategorie versteht:
C' ist eine Unterkategorie der Kategorie C, wenn gilt:
- O(C') ist eine Unterklasse von O(C).
- für jedes Paar
von Objekten X, Y in O(C') ist C'(X,Y) eine Teilmenge von
C(X,Y),
- Ist f in C'(X,Y) und g in C'(Y,Z), so gehört
gf (gebildet in C) zu C'(X,Z).
- Für jedes X in C' ist 1X
(gebildet in C) in C'(X,X).
Gilt in (2)
sogar:
- für jedes Paar
von Objekten X, Y in O(C') ist C'(X,Y) =
C(X,Y)
so nennt man C' eine volle Unterkategorie von C.
In diesem
Fall sind die Bedingungen (3) und (4) automatisch erfüllt.
Beispiel: Die Kategorie Ab der abelschen Gruppen ist eine volle Unterkategorie
der Kategorie Gr der Gruppen.
Funktoren
Seien C und D Kategorien. Ein Funktor F: C → D
ist durch folgende Daten gegeben:
- Jedem Objekt X in O(C) ist ein Objekt F(X) in O(D) zugeordnet.
- Jedem Morphismus f in C(X,Y) ist ein Morphismus F(f) in D(F(X),F(Y))
zugeordnet,
wobei die folgenden beiden Bedingungen erfüllt sein müssen:
- Sind Morphismen f: X → Y und g: Y → Z in C gegeben, so ist
F(gf) = F(g)F(f).
- Für jedes Objekt X in C ist F(1X) = 1F(X).
Man nennt die so definierten Funktoren auch kovarianten Funktoren, im
Unterschied zu den "kontravarianten Funktoren" (bei denen jedem
Morphismus f in C(X,Y) ein Morphismus F(f) in D(F(Y),F(X))
(und nicht in D(F(X),F(Y))) zugeordnet wird
und für die F(gf) = F(f)F(g) (statt F(gf) = F(g)F(f))
gefordert wird).
Beispiele von Funktoren:
- π1: Top* → Gr.
- H1: Top → Ab.
- Ist C' eine Unterkategorie der Kategorie C, so ist die Inklusion
ein Funktor, man nennt ihn einen Einbettungskfunktor.
- Beispiel: der Einbettungsfunktor Ab → Gr.
- Vergissfunktoren: Dies sind Funktoren, die dadurch gegeben sind, dass
man eine gegebene Zusatzstruktur vergisst.
Beispiele:
- Der Vergissfunktor Gr → Meng (jeder Gruppe wird die zugrundeliegende
Menge zugeordnet, jeder Gruppenhomomorphismus f diese Abbildung f,
nun einfach ausgefasst
als mengentheoretische Abbildung, zugeordnet).
- Der Vergissfunktor Top → Meng (jedem topologischen Raum wird die
zugrundeliegende
Menge zugeordnet, jeder stetigen Abbildung f diese Abbildung f,
nun einfach ausgefasst
als mengentheoretische Abbildung, zugeordnet).
- Der Vergissfunktor Top* → Top (jedem punktierten Raum
(X,x0) wird der Raum X zugeordnet - man "vergisst" den Basispunkt;
jeder punktierten Abbildungen f: (X,x0) → (Y,y0)
wird diese Abbildung f,
nun einfach ausgefasst
als Abbildung f: X → Y, zugeordnet).
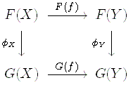
Natürliche Transformationen
Seien C und D Kategorien. Seien F,G: C → D Funktoren.
Eine natürliche Transformation φ: F → G ist folgendermaßen gegeben:
- Zu jedem Objekt X in O(C) ist ein Morphismus φX: F(X) →
G(X) gegeben,
sodass gilt:
- Für jeden Morphismus f: X → Y in C gilt
φYF(f) = G(f)φX.
Man sagt: das folgende Diagramm in
D ist kommutativ:
Beispiel einer natürlichen Transformation:
- Betrachte den Funktor H1: Top → Ab als Funktor
Top* → Gr (also als Hintereinanderschaltung des Vergissfunktors
Top* → Top, des eigentlichen Funktors H1 und des
Einbettungsfunktors Ab → Gr).
Die Hurewicz-Homomorphismen
φ(X,x): π1(X,x) → H1(X)
liefern eine natürliche Transformation φ:
π1 → H1