8. Die singuläre Homologiegruppe H1(X)
Ist M eine Menge, so bezeichnen wir mit Z[M] die
freie abelsche Gruppe mit Basis M.
Wir betrachten nun einen topologischen Raum X
und bezeichnen mit Top(Δn,X) die
Menge der stetigen Abbildungen
Δn → X. Wir setzen
Cn(X) =
Z[Top(Δn,X)].
Man nennt dies die Gruppe der singulären n-Ketten in X.
Uns interessieren hier nur die Fälle n=0,1,2. Im nächsten Semester
(oder in jeder Vorlesung über "algebraische Topologie") wird der
allgemeine Fall betrachtet.
Für uns ist Δn eine feste geometrische Realisierung des
n-dimensionalen Simplex {0,1,2,...,n}. Den Rand von Δn
bilden die (n-1)-dimensionalen Simplizes, die man erhält, wenn man
in {0,1,2,...,n} nacheinander jeweils eine Ecke entfernt. Es gibt n+1 derartige
Randsimplizes. Entsprechend liefert jede
Abbildung f: Δn → X gerade n+1 Abbildungen
fi: Δn-1 → X, nämlich die jeweiligen
Einschränkungen, und zwar sei fi als die Abbildung auf dem
Randsimplex, das nicht die Ecke i enthält, definiert.
Fall n=1. Gegeben ist also eine Abbildung f: Δ1 → X,
dabei können wir Δn = |{0,1}| mit dem Einheitsintervall I
identifizieren. Es gibt zwei Randsimplizes, nämlich die Eckpunkte des Intervalls.
Die Einschränkungen fi von f sind demnach einfach Zahlen, und zwar
ist f0 = f(1) und f1 = f(0) (und nicht etwa umgekehrt - der Index
gibt an, welche Ecke nicht betrachtet wird!)
Fall n=2. Das 2-Simplex Δn = |{0,1,2}|
hat drei Randsimplizes, nämlich die Simplizes
|{1,2}| (= weggelassen ist die Ecke 0),
|{0,2}| (= weggelassen ist die Ecke 1),
|{0,1}| (= weggelassen ist die Ecke 2).
Dies sind drei Intervalle, die wir jeweils mit dem Einheitsintervall
identifizieren können. Wichtig dabei ist, dass wir die
Orientierung nicht ändern,
dass also die Eckpunkte von |{1,2}| die Ecken 1,2 (in dieser Reihenfolge), die
von |{0,2}| die Ecken 0,2 (in dieser Reihenfolge) usw. sind.
Wir definieren Abbildungen
d = d1: C1(X) → C0(X)
d = d2: C2(X) → C1(X)
Dabei ist d1(γ) = γ0 - γ1
für γ: Δ1 → X,
und d2(Γ) = Γ0 - Γ1 +
Γ2
für Γ: Δ2 → X.
Haupteigenschaft: Es gilt d2 = d1d2 = 0.
Beweis: Sei also Γ: Δ2 → X gegeben. Zu berechnen ist
(Γi)j für i=0,1,2 und j = 0,1. Es ist
(Γ0)0 = Γ(2),
(Γ0)1 = Γ(1), also ist
d(Γ0) = Γ(2)-Γ(1).
(Γ1)0 = Γ(2),
(Γ1)1 = Γ(0), also ist
d(Γ1) = Γ(2)-Γ(0).
(Γ2)0 = Γ(1),
(Γ2)1 = Γ(0), also ist
d(Γ2) = Γ(1)-Γ(0).
Bilden wir schließlich
d(Γ0 - Γ1 +
Γ2), so ergibt sich:
d(Γ0 - Γ1 +
Γ2) = d(Γ0) - d(Γ1) +
d(Γ2) = (Γ(2)-Γ(1))-(Γ(2)-Γ(0))
+(Γ(1)-Γ(0)),
es
heben sich jeweils zwei Terme weg, und wir erhalten 0.
Man setzt
Was sind 1-Zykel? Es sind ganzzahlige Linearkombinationen Σ
ziω, wobei die ωi Wege sind,
so dass jeder Punkt genauso oft als Anfangs- wie als Endpunkt auftritt (unter
Berücksichtigung der Koeffizienten zi). Man kann also einen
entsprechenden geschlossenen Weg konstruieren... Was man sich jedoch merkt, ist
nicht die Reihenfolge, in der der Weg durchlaufen werden kann, sondern nur
die Teilstücke und die Vielfachheit, mit der der Weg durchlaufen wird.
Was sind 1-Ränder? Es sind ganzzahlige Linearkombinationen von
"Randwegen singulärer 2-Simplizes"; ist nämlich eine stetige Abbildung
Δ2 → X gegeben, so besteht sein Rand aus drei Wegen,
die zusammen einen 1-Zykel bilden (eben wegen der grundlegenden Gleichheit
d1d2 = 0).
Funktorialität.
Sind X, Y topologische Räume und ist f: X → Y eine stetige Abbildung,
so induziert f einen Gruppen-Homomorphismus H1(f): H1(X)
→ H1(Y).
f: X → Y induziert für jedes n in N eine Abbildung
f*: Top(Δn,X) → Top(Δn,Y),
und zwar durch Hintereinanderschaltung: f*(γ) = fγ.
Wir erhalten auf diese Weise eine induzierte Abbildung
zwischen den zugehörigen freien Gruppen, die wir ebenfalls mit f*
bezeichnen, also:
f*: Cn(X) =
Z[Top(Δn,X)] →
Z[Top(Δn,Y)] = Cn(Y)
(Für eine formale Summe Σ z(i)γi bildet man
f*(Σ z(i)γi) = Σ z(i)fγi.)
Man rechnet leicht nach, dass gilt:
- f*(Z1(X)) ist in Z1(Y) enthalten.
- f*(B1(X)) ist in B1(Y) enthalten.
Daraus folgt aber, dass f* eine Abbildung H1(X) →
H1(Y) induziert, die wir ebenfalls mit f*
(oder auch mit H1(f)) bezeichnen: es ist
f*(c+B1(X)) = f*(c)+B1(Y).
Es ist einfach zu sehen:
H1 ist ein Funktor von der Kategorie der topologischen Räume
in die Kategorie der abelschen Gruppen, denn es gilt:
- (1X)* ist die Einsabbildung von H1(X).
- Sind stetige Abbildung f: X→ Y und g: Y → Z gegeben, so ist
(gf)* = g*f*.
Der Hurewicz-Homomorphismus
Sei (X,x0) ein punktierter Raum. Zur Definition der Fundamentalgruppe
sind wir von der Menge Ω(X,x0)
ausgegangen. Wir werden nun jedes Element ω von Ω(X,x0) als ein Element von
C1(X) auffassen, eben als ein
Basiselement dieser Gruppe. Offensichtlich liegt
ω in der Untergruppe Z1(X) der
1-Zyklen. Wir erhalten auf diese Weise
eine Inklusionsabbildung Ω(X,x0)
→ Z1(X).
Satz. Sei (X,x0) ein punktierter Raum. Die Inklusion
Ω(X,x0) → Z1(X)
liefert eine Abbildung
φ: π1(X,x0) → H1(X)
mit folgenden Eigenschaften:
- φ ist ein Gruppen-Homomorphismus.
- Sein Kern ist die Kommutatorgruppe von π1(X,x0)
- Ist X wegzusammenhängend, so ist φ
surjektiv.
Man nennt φ Hurewicz-Homomorphismus.
(Es ist φ([ω]) = ω+B1(X) für ω in Ω(X,x0).)
Für einen weg-zusammenhängenden Raum X und einen beliebigen Basispunkt
x0 in X gilt also:
π1(X,x0)ab = H1(X).
(Dabei verwenden wir den Hurewicz-Homomorphismus, um die Kommutatorfaktorgruppe der
Fundamentalgruppe von X (bezüglich x0) mit
der Homologie-Gruppe zu identifizieren.)
|
Beweis des Satzes.
Sei nun X weg-zusammenhängend.
Wir definieren einen Gruppen-Homomorphismus ζ: C1(X) →
π1(X,x0)ab auf folgende Weise:
Da X wegzusammenhängend ist, können wir zu jedem x in X
einen Weg κ(x) von x0 nach x wählen. Wir fixieren jeweils
einen solchen Weg und nennen ihn κ(x);
dabei sei
κ(x0) = ε (der konstante Weg). Ist γ in
Top(Δ1,X), so ist
γ' = (κ(γ(0))*γ)*(κ(γ(1)))-
ein Element von Ω(X,x0), also ist die Homotopieklasse
[γ'] ein Element der Fundamentalgruppe
π1(X,x0),
und es sei nun
ζ(γ) = [[γ']] in
π1(X,x0)ab.
Wir setzen ζ linear fort: Sei eine endliche Summe
ζ(Σ z(i)γi) in C1(X) gegeben, also
ganze Zahlen z(i) und Elemente γi in
Top(Δ1,X), so definieren wir:
ζ(Σ z(i)γi) sei
das Produkt der Elemente [[γi']]z(i)
in π1(X,x0)ab.
(Hier verwenden wir, dass G =
π1(X,x0)ab eine abelsche Gruppe und A =
C1(X) eine freie abelsche Gruppe ist: Um einen
Gruppen-Homomorphismus
ζ: C1(X) →
π1(X,x0)ab zu definieren, reicht es,
den Basis-Elementen γ von C1(X)
einen Wert in G zuzuordnen.)
- (5) Ist c in Z1(X) gegeben,
so ist φζ(c) - c in B1(X).
Beweis: Wir schreiben B = B1(X).
Sei c = z(1)γ1+...+z(n)γn mit
ganzen Zahlen z(i) und Elementen γi in
Top(Δ1,X). Nach Definition ist
ζ(c) die Restklasse von
[γ1']z(1)
...[γn']z(n)
in π1(X,x0)ab, also ist
φζ(c) = Σ z(i)γi' + B
=
Σ z(i)κ(γi(0)) + Σ z(i)γi -
Σ z(i)κ(γi(1)) + B
= Σ z(i)γi + B = c + B .
(Denn nach Voraussetzung ist c ein 1-Zykel, also ist
Σ z(i)γi(0) = Σ z(i)γi(1), also auch
Σ z(i)κ(γi(0)) =
Σ z(i)κ(γi(1)).)
- (5') Der Gruppen-Homomorphismus φ ist surjektiv.
- (6) B1(X) ist im Kern von ζ enthalten (und liefert demnach einen
Gruppen-Homomorphismus C1(X)/B1(X) →
π1(X,x0)ab,
den wir ebenfalls mit ζ bezeichnen).
Beweis: Es genügt zu zeigen: Ist Γ in Top(Δ2,X), so
ist ζ(dΓ) = [[ε]].
Beweis: Nach Definition von d = d2 ist dΓ = Γ2
+Γ0 - Γ1, demnach ist ζ(dΓ)
die Restklasse von
[κ(Γ(0))*Γ2*Γ0*
Γ1-*κ(Γ(0))-].
Offensichtlich ist aber diese Schleife nullhomotop, denn Γ liefert
eine entsprechende Homotopie.
- (7)
Für ω in Ω(X,x0) ist ζφ([[ω]]) = [[ω]].
Beweis: Es ist φ([[ω]]) = φ(ω) = ω+B,
also ist ζ(φ([[ω]])) = ζ(ω+B) = ζ(ω) =
[[(ε*ω)*ε]] = [[ω]].
- (7') Der Gruppen-Homomorphismus
φ: π1(X,x0)ab →
H1(X) ist injektiv.
- Insgesamt haben wir gezeigt: Die Einschränkung von
ζ auf H1(X) ist ein Gruppen-Homomorphismus
H1(X) →
π1(X,x0)ab, der zu
φ :
π1(X,x0)ab → H1(X)
invers ist.
Ist X weg-zusammenhängend, so haben wir gesehen, dass φ ein surjektiver
Gruppen-Homomorphismus π1(X,x0) → H1(X)
ist, dessen Kern die Kommutatorgruppe von π1(X,x0) ist.
Sei nun X nicht weg-zusammenhängend, sei etwa X' die Wegzusammenhangskomponente
von X, die x0 enthält. Man sieht leicht, dass die
von der Inklusionsabbildung
u: X' → X induzierte Abbildung H1(X') → H1(X) injektiv ist.
Andererseits bildet φ die Fundamentalgruppe π1(X,x0) in
H1(X') ab. Es folgt nun unmittelbar, dass auch im allgemeinen Fall der Kern
von φ die Kommutatorgruppe von π1(X,x0) ist.
Die Hurewicz-Homomorphismen bilden zusammen eine natürliche Transformation.
Dabei betrachten wir die beiden Funktoren π1 und H1
als Funktoren von der Kategorie der punktierten Räume in die Kategorie der
(nicht notwendig kommutativen) Gruppen.
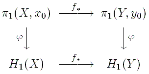
Ist nämlich f: (X,x0) → (Y,y0)
eine punktierte stetige Abbildung, so ist das folgende Diagramm
kommutativ:
(Dabei müssten wir die vertikalen Abbildungen eigentlich mit
φX bzw. φY bezeichnen, um zu betonen,
dass die linke Abbildung der Hurewicz-Homomorphimus zu X (oder
noch genauer: zu (X,x0)), die rechte Abbildung der
Hurewicz-Homomorphimus zu (Y,y0) ist.)
Beweis: Sei ω in Ω(X,x0). Es ist f*([ω]) =
[fω], also
φf*([ω]) = φ([fω]) =
fω+ B1(Y).
Andererseits ist φ([ω]) = ω+ B1(X), und demnach
f*φ([ω]) = f*(ω+ B1(X))
= fω+ B1(Y).
Nachbemerkung: Algebraisierungen topologischer Phänomene
Algebra ist die Rechenkunst. Algebraisieren bedeutet, dass man mit
Dingen (den Elementen einer Grundmenge) so rechnen möchte, wie man
es mit Zahlen gewohnt ist: dass entsprechende Rechengesetze wie etwa
das Assoziativgesetz oder das Kommutativgesetz gelten, dass es ein neutrales
Element e gibt usw. Und warum will man rechnen? Zum Beispiel um zu zeigen,
dass zwei Dinge gleich sind oder dass sie verschieden sind.
Die Bildung von π1(X,x0) und H1(X)
zeigt zwei wesentlich verschiedene Vorgehensweisen zur Algebraisierung
topologischer Phänomene. Die algebraische Struktur, die man in beiden
Fällen erhält, ist die einer Gruppe: Man braucht also jeweils:
- eine Grundmenge,
- eine Verknüpfung,
- und bezüglich dieser Verknüpfung müssen die Gruppenaxiome
erfüllt sein.
Im Fall der Bildung der Fundamentalgruppe π1(X,x0)
geht man genau in der angegebenen Reihenfolge vor:
- Die Grundmenge von π1(X,x0) ist eine rein topologisch
definierte Menge: die Menge der Homotopieklassen von Schleifen mit Basispunkt
x0.
- Man definiert eine Verknüpfung auf dieser Menge ebenfalls rein
topologisch.
- Schließlich weist man nach, dass die Gruppenaxiome gelten.
Ganz anders ist das Vorgehen, um H1(X) zu definieren:
- Die Elemente von H1(X) sind Restklassen einer formal definierten
Gruppe. Wir brauchen keine Gruppenaxiome nachzuweisen, sie sind automatisch
erfüllt.
- Die Elemente von H1(X) haben keine unmittelbare topologische
Bedeutung. [Ist X wegzusammenhängend, so folgt allerdings aus dem Satz von
Hurewicz, dass wir die Elemente von H1(X) als Restklassen von Schleifen
interpretieren können - im Allgemeinen bleibt uns aber nichts anderes übrig,
als mit formalen Summen zu arbeiten: Ist etwa X die topologische Summe zweier
Kreise mit Einbettungen u1,u2: S1 → X,
so ist ein typisches Element von H1(X) von der Form
z1u1+z2u2 mit ganzen Zahlen
z1, z2 (genauer: die zugehörige Restklasse modulo
B1(X)). Die Koeffizienten zi können wir,
wenn wir wollen, topologisch interpretieren (2u1 bedeutet eben, den
Kreis zweimal zu durchlaufen, und -2u1 bedeutet, ihn zweimal in
entgegengesetzter Richtung zu durchlaufen), es bleibt aber immer noch das +-Zeichen!]
Der Grundgedanke, auf dem die Definition von H1(X) basiert, ist der
Wunsch, mit Schlingen zu rechnen: zu addieren ("zweimal die gleiche Schlinge
durchlaufen", "verschiedene Schlingen durchlaufen"), aber diesen Additionsprozess
auch rückgängig machen zu wollen, also subtrahieren zu können
und dabei gewisse Schlingen oder deren Linearkombinationen als gleichartig
(= homolog) einzustufen und demnach gleichzusetzen. Vorgegeben wird also als
Ausgangsmenge Z1(X), in dieser Gruppe wird nun modulo der 1-Ränder
gerechnet: Man arbeitet also mit der Gruppe Z1(X)/B1(X).
(Analoge Konstruktionen haben sich in vielen
Gebieten der Mathematik bewährt.)
Trotz dieser völlig verschiedenen Vorgehensweisen zeigt der Satz von Hurewicz,
dass wir Gruppen erhalten, die eng verwandt sind!
Die moderne Algebra ist nicht nur Rechenkunst, sie ist Struktur-Mathematik.
Das soll heißen, dass die jeweiligen Rechensysteme, also die Gruppen, Ringe,
Körper,... genauestens analysiert werden und ihre Struktur bestimmt wird:
dass also eine Normalform für die jeweilige Isomorphieklasse angegeben wird.
Als Beispiel sei auf die Klassifikation
der endlich erzeugten abelschen Gruppen verwiesen.
Eine solche Klassifikation kann man im Allgemeinen nur dann erwarten, wenn die
betrachteten algebraischen Objekte nicht "zu groß" sind. (Bei den abelschen
Gruppen beschränkt man sich etwa auf diejenigen, die endlich erzeugt sind.)
Nun sollte man bemerken, dass die Ausgangsmengen (also Ω(X,x0)
beziehungsweise Z1(X)) sehr "groß" sind. (Man denke nur daran, wieviele
stetige Abbildungen es allein schon von I nach I gibt!) Es muss also durchaus
überraschen, dass die Gruppen, die man schließlich erhält, etwa
die Fundamentalgruppe eines Kreises oder die erste Homologiegruppe einer unserer
Flächen, durchaus "klein" sind (und dass die Struktur dieser Gruppen vollständig
beschrieben werden kann).
|