7. Der Satz von Seifert - Van Kampen

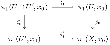
Satz. Sei X ein topologischer Raum, seien U,U' offene Teilmengen, die X überdecken, und es seien U, U' und der Durchschnitt U" von U und U' nicht leer und weg-zusammenhängend. Bezeichnet man die Inklusionsabbildungen mit i: U" → U, i': U" → U', j: U → X und j': U' → X und wählt man x0 in U", so ist das Diagramm

ein Pushout in der Kategorie der Gruppen.

Das heißt: 

  1. Das Diagramm ist kommutativ - das gilt offensichtlich, denn ji = j'i', also j*i* = (ji)* = (j'i')* = j'*i'*.
  2. Das Bild von j* und j'* erzeugt π1(X,x0) als Gruppe.
  3. Sind Gruppen-Homomorphismen α: π1(U,x0) → Q und β: π1(U',x0) → Q mit αi* = βi'* gegeben, so gibt es einen Gruppen-Homomorphismus q: π1(X,x0) → Q mit qj* = α und qj'* = β.

    Statt der zweiten Bedingung wird meist die dritte folgendermaßen verschärft:  man verlangt, dass die gesuchte Abbildung q eindeutig ist; man kann sich leicht überlegen, dass die Eindeutigkeit aus der Bedingung 2. folgt, und dass umgekehrt die Eindeutigkeit der Abbildung q in 3. die Bedingung 2. impliziert.


Beweis von 2.:  Zu zeigen ist: 
Jede Schleife in X lässt sich bis auf punktierte Homotopie als Produkt von Schleifen schreiben, die jeweils ganz in U oder in U' liegen.

Gegeben sei also ω: I → X mit ω(0) = x0 = ω(1). Betrachte die offene Überdeckung von X durch ω-1(U) und ω-1(U') und dazu eine Lebesgue-Zahl δ. Ist k eine natürliche Zahl > 1/δ, so liegt jedes Intervall der Form [(i-1)/k,i/k] ganz in ω-1(U) oder ganz in ω-1(U').

Setze xi = ω(i/k). Wähle einen Weg τi von x0 zu diesem Punkt xi, und zwar den konstanten Weg für i= 0 und i = k, ansonsten: 

Setze ωi = τi-1(ω|[(i-1)/k,i/k]i-. Dies ist eine Schleife, die ganz in U oder ganz in U' enthalten ist, und das Produkt ω1...ωk ist punktiert homotop zu ω.

Folgerung aus 2.:  Ist π1(U,x0) = {1} = π1(U',x0), so auch π1(X,x0) = {1}.

Anwendung:  Ist n > 1, so kann man die Sn durch zwei offene, zusammenziehbare Teilräume überdecken, so dass der Durchschnitt weg-zusammenhängend ist. Also ist π1(Sn,x0) = {1} für n > 1.


Beweis von 3.: Seien Gruppen-Homomorphismen α: π1(U,x0) → Q und β: π1(U',x0) → Q mit αi* = βi'* gegeben. Diese Bedingung besagt also:  Ist ω eine Schleife in X, deren Bild im Durchschnitt von U und U' liegt, so ist α([ω]U) = β([ω]U'). (Dabei haben wir den jeweiligen Index hinzugefügt, um zu betonen, dass die Bildung der Homotopieklasse einmal in U und einmal in U' erfolgt.)

Ist ω eine Schleife in X, deren Bild ganz in U oder ganz in U' liegt, so schreiben wir

Nach der vorausgesetzten Bedingung ist dies ein wohldefiniertes Element von Q.

Wir zeigen nun: 
Behauptung A. Sind Schleifen ωi mit 1 ≤ i ≤ n gegeben, wobei jedes der Bilder ganz in U oder ganz in U' liegt, und ist ω1...ωn nullhomotop, so gilt γ(ω1)...γ(ωn) = 1 in Q.

Sei also H: I × I → X eine Wege-Homotopie zwischen ω1...ωn und dem konstanten Weg ε.

Zur offenen Überdeckung {H-1(U),H-1(U')} von I × I gibt es eine Lebesgue-Zahl δ, also gibt es eine natürliche Zahl k, so dass die Quadratzerlegung von I×I in k×k gleichgroße Quadrate die Eigenschaft hat:  jedes kleine Quadrat liegt ganz in H-1(U) oder ganz in H-1(U'). Wir können zusätzlich voraussetzen, dass k ein Vielfaches von n ist.

Betrachte nun die Punkte xij = H(i/k,j/k) mit 0 ≤i ≤ k und 1 ≤ j ≤ k. Wir wählen jeweils einen Weg τij von x0 zu diesem Punkt, und zwar den konstanten Weg, falls x0 = xij; ansonsten: 

Setze Dies sind Wege.

Bilde

Dies sind Schleifen(!), und zwar verlaufen sie ganz innerhalb von U oder ganz innerhalb von U'.

Wir können also γ(fijo) und γ(gijo) bilden und erhalten Elemente in Q.

Behauptung B:  Es gilt

γ(fi,j-1o)γ(gijo) = γ(gi-1,jo)γ(fijo).

Beweis:  Wir können annehmen, das das Quadrat mit den Ecken ((i-1)/k,(j-1)/k), (i/k,(j-1)/k), ((i-1)/k,j/k), (i/k,j/k) ganz in H-1(U) liegt. (Ansonsten liegt es ganz in H-1(U'), und der Beweis ist analog.) Insbesondere liegen die Ecken in H-1(U) und demnach auch die τ-Wege zu den Ecken. Wir sehen also, dass die Schleifen fi,j-1o, fijo, gi-1,jo und gijo alle in U liegen. Die Produkte der Schleifen fi,j-1ogijo und gi-1,jofijo sind homotop in U, wie die Einschränkung von H auf dieses Quadrat zeigt. Also ist γ(fi,j-1o) γ(gijo) = γ(gi-1,jo) γ(fijo). Damit ist die Behauptung B bewiesen.

Geeignete dieser Elemente sollen nun multipliziert werden, und zwar entlang von "Treppenwegen" von (0,0) nach (1,1), wobei wir sukzessive γ(fi,j-1o) γ(gijo) durch γ(gi-1,jo) γ(fijo). ersetzen: 

Dies zeigt die Behauptung A:  Denn in Q gilt: 
γ(ω1)...γ(ωn)
= γ(f1,0o)... γ(fk,0o)
= γ(f1,0o)... γ(fk,0o) γ(gk,1o)... γ(gk,ko)
- hier haben wir noch konstante Schleifen (oder besser, deren Bilder unter γ) hinzugefügt. Nach den k×k Ersetzungen ergibt sich
γ(g0,1o)... γ(g0,ko) γ(f1,ko)... γ(fk,ko), und hier sind alle Faktoren gleich 1, denn alle auftretenden Schleifen sind konstant!


Es bleibt zu zeigen, dass aus der Behauptung A die Existenz der gesuchten Abbildung q folgt. Wegen 2. können wir jedes Element g in π1(X,x0) in der Form g = g1...gn schreiben, wobei jedes Element gi im Bild von j* oder von j'* liegt, also gi = j*([ωi]U) (für eine Schleife ωi in U) oder gi = j'*([ωi]U') (für eine Schleife ωi in U'). Setze
q(g) = γ(ω1)...γ(ωn).
Zu zeigen ist:  Damit ist der Satz von Seifert-Van Kampen bewiesen.

Anwendung 1. Sei X die punktierte Summe von t 1-Sphären. Die Kommutator-Faktorgruppe der Fundamentalgruppe von X ist Zt.
Genauer:  X sei die punktierte Summe der 1-Sphären X1,...,Xt, mit Basispunkt x0. Die Fundamentalgruppe von jedem Xi ist Z, sagen wir mit erzeugendem Element ci. (Als ci kann man und wird man gerade die Homotopieklasse der identischen Abbildung Xi → Xi nehmen!) Betrachte nun die Fundamentalgruppe π1(X,x0) von X. Jedes Element g in π1(X,x0) ist Produkt
g = g1...gn
von Elementen gj, wobei gj die Homotopieklasse einer Schleife ist, die ganz in einer 1-Sphäre Xs(j) verläuft. Es ist also
gj = cs(j)e(j)   für eine natürliche Zahl e(j).

Sei nun zi die Summe der Zahlen e(j) mit s(j) = i. Setze
φ(g) = (z1,...,zt);
dies ist die gesuchte Abbildung
φ: π1(X,x0) → Zt.

(Ist g die Homotopieklasse der Schleife ω: S1 → X, so betrachte man die Hintereinanderschaltung S1 → X → Xi von ω mit der kanonischen Abbildung X → Xi, die die restlichen 1-Sphären zusammenschlägt. Die Zahl zi ist gerade der Abbildungsgrad dieser Abbildung S1 → X → Xi.)
    (Die Abbildung φ werden wir im nächsten Abschnitt noch genauer analysieren:  es handelt sich gerade um den "Hurewicz-Homomorphismus" für die punktierte Summe von t 1-Sphären.)


Als Zweites betrachten wir endlich-triangulierbare zusammenhängende geschlossene Flächen.

Anwendung 2. Die Kommutator-Faktorgruppe der Fundamentalgruppe der Fläche Fg ist Z2g.
Die Kommutator-Faktorgruppe der Fundamentalgruppe der Fläche Ng ist Zg-1× C2.

Folgerung (Satz 4, Aussage 2). Die Flächen Fg mit g ≥ 0 und Ng mit g ≥ 1 sind paarweise nicht homotopie-äquivalent, also insbesondere nicht topologisch äquivalent.